合作客戶/
拜耳公司 |
同濟大學 |
聯合大學 |
美國保潔 |
美國強生 |
瑞士羅氏 |
相關新聞Info
-
> 不同表麵張力液體的多樣定向運輸模式,如何實現?
> 馬蘭戈尼效應在生活的應用【舉例】
> 新型均相微乳液型助排劑AO-4表/界麵張力測定及室內評價——結果與討論、結論
> 十二胺功能化石墨烯量子點的製備、表麵張力及對L-薄荷醇的緩釋作用(一)
> 液態Ag-O係表麵張力和表麵過剩量計算、氧氣壓力和溫度的預測模型——模型(二)
> 七葉皂素分子在氣-液、液-液(油-水)、固-液界麵上的界麵行為研究(一)
> 界麵張力為22mN/m的柴油-水分離濾紙振動特性研究(三)
> 去乙酰化槐糖脂生物表麵活性劑的結構鑒定、理化性質及應用(二)
> 含氟聚氨酯超疏水塗層表麵性能、化學穩定性、耐摩擦性能研究——摘要、實驗部分
> 燒結礦致密化行為研究:不同堿度條件下熔體的表麵張力、表觀黏度值(二)
推薦新聞Info
-
> 單萜萜類驅油劑界麵張力、配伍性、降黏效果及破乳效果測試與篩選(三)
> 單萜萜類驅油劑界麵張力、配伍性、降黏效果及破乳效果測試與篩選(二)
> 單萜萜類驅油劑界麵張力、配伍性、降黏效果及破乳效果測試與篩選(一)
> 紫檀芪的穩定性增強型抗氧化劑製作備方及界麵張力測試——結果與討論、結論
> 紫檀芪的穩定性增強型抗氧化劑製作備方及界麵張力測試—— 引言、材料與方法
> 香豆素取代二乙炔LB膜的組裝、聚合及螺旋結構形成機製(下)
> 香豆素取代二乙炔LB膜的組裝、聚合及螺旋結構形成機製(中)
> 香豆素取代二乙炔LB膜的組裝、聚合及螺旋結構形成機製(上)
> 電鍍液表麵張力、接觸角、流速以及壓強等因素對矽通孔浸潤過程的影響(二)
> 電鍍液表麵張力、接觸角、流速以及壓強等因素對矽通孔浸潤過程的影響(一)
香豆素取代二乙炔LB膜的組裝、聚合及螺旋結構形成機製(下)
來源:高分子學報 瀏覽 29 次 發布時間:2025-11-27
3.5光聚合行為研究
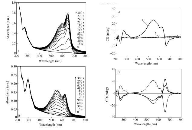
在紫外光輻照下,二乙炔單體可以通過1,4-加成聚合機理進行拓撲光聚合。二乙炔單體能否聚合取決於單體分子鏈間距離d和分子鏈與堆積軸之間的夾角,當d≈0.5nm,θ≈45°時二乙炔單體具有最大的聚合可能性。分子結構和端基相互作用對香豆素取代二乙炔單體組裝體在分子以及超分子水平上有影響,使得二乙炔單體表現出不同的聚合行為,可以通過紫外吸收光譜表征。如圖6所示,單體CODA和CO2DA均可以進行拓撲光聚合。
以CODA為例,隨著紫外光輻照時間增加,LB膜在590和640nm處出現2個典型的聚二乙炔藍相吸收峰,且隨時間增加而逐漸增強,薄膜顏色由淡黃色變為藍色。而對於CO2DA LB膜,隨著254nm紫外光輻照時間的增加,在540和620nm處出現兩個明顯的吸收峰,分別對應於聚二乙炔紅相和藍相的典型吸收,薄膜顏色由淡黃色變為紫色。隨著輻照時間的增加,540nm處吸收峰明顯增強,聚合薄膜中聚二乙炔紅相組分變多。
單體分子結構和分子間相互作用的不同使得兩種香豆素取代二乙炔單體LB膜的聚合行為有很明顯的差異。在CODA單體LB膜中,相鄰的香豆素基團間強烈的π-π相互作用使香豆素端基有序規整排列,從而使得CODA分子的二乙炔鏈可以緊密的平行排列,這使得CODA分子在紫外光輻照下聚合速率很快,並且聚合成了具有較長有效共軛鏈長的藍相。但是對於CO2DA單體LB膜,分子排列較鬆散,存在局部的缺陷,香豆素基團間無法形成緊密有序的規整排列,從而使得CO2DA分子間排列較CODA分子鬆散且不規整,聚合後薄膜中既存在較長有效共軛鏈長的藍相聚二乙炔主鏈,也存在共軛鏈長較短的紅相聚二乙炔主鏈。
3.6聚合後手性特征
從CODA單體LB膜的圓二色譜結果粉色视频网站知道,香豆素端基在LB膜中形成了螺旋排列,那麽這種端基螺旋排列是否會誘導聚二乙炔主鏈也形成相同的螺旋構象,將聚合後的LB膜(PCODA)進行圓二色譜表征。研究發現,對於CODA LB膜,聚合後香豆素基團的手性信號依然保留,而且在500~700nm範圍內也出現了明顯的手性信號,說明聚二乙炔主鏈形成了螺旋結構(如圖7(A)所示)。
而對於PCODA LB膜,聚合後在500~700 nm範圍內觀察不到明顯的CD信號,說明聚二乙炔主鏈未形成螺旋結構或形成的左旋和右旋螺旋結構數量相當。此現象可歸因於兩種香豆素取代二乙炔單體在氣-液界麵組裝方式上的差異。在CODA單體LB膜中,相鄰的香豆素基團間強烈的π-π相互作用使香豆素端基有序規整排列,從而使得CODA分子的二乙炔鏈可以緊密的平行排列,有利於體係對稱性被打破,某一方向聚二乙炔主鏈螺旋結構在LB膜中占主導地位,表現出宏觀手性。而CO2DA LB膜中,香豆素基團排列較鬆散,存在局部的缺陷,不利於聚二乙炔主鏈螺旋結構的形成。
同時粉色视频网站觀察發現,香豆素端基螺旋堆砌方向與聚二乙炔主鏈螺旋方向存在一定的關係。如圖7(B)所示,CODA LB膜聚合後香豆素基團在268nm處出現負的CD信號,則聚二乙炔主鏈在550 nm處同樣出現負的CD信號;香豆素基團在268nm處出現正的CD信號,則聚二乙炔主鏈在550 nm處同樣出現正的CD信號。兩者之間有一一對應關係。香豆素端基的螺旋排列決定了聚二乙炔主鏈螺旋結構形成方向。
3.7香豆素二聚化影響
香豆素基團在紫外光照條件下可發生可逆的光二聚反應:在365nm光輻照下,香豆素基團能發生光二聚反應,在254nm輻照下香豆素二聚體能可逆地發生解二聚反應。可以預見香豆素端基的二聚化將影響香豆素取代二乙炔單體在氣液界麵的組裝,從而影響聚二乙炔主鏈螺旋結構的形成。粉色视频网站用365nm紫外燈輻照CODA氯仿溶液20min,此時香豆素端基能發生二聚,而二乙炔基團不會發生聚合。將得到的CODA二聚體的氯仿溶液鋪展在水麵上,沉積製備LB膜,製備得到的CODA二聚體LB膜能聚合成藍相。CD光譜測試發現香豆素基團和相應的聚二乙炔吸收帶均出現了明顯的CD信號,但強度較CODA LB膜均有所減弱,如圖8所示。
香豆素二聚後,分子間的立體位阻不規則排列阻礙了二乙炔鏈的緊密平行排列,不利於聚二乙炔主鏈螺旋結構的形成。
4結論
設計合成了2種香豆素取代二乙炔單體,研究了柔性間隔基對香豆素取代二乙炔單體在氣液界麵的組裝、單體LB膜的聚合以及聚二乙炔主鏈螺旋結構形成的影響。盡管CODA分子是非手性的,但其LB膜均表現出明顯的宏觀手性信號。這是由於在壓縮過程中香豆素基團間強烈的π-π堆積,形成了螺旋排列,顯示出超分子手性。而CO2DA LB膜中分子排列較鬆散,香豆素基團間無法形成緊密有序的規整排列,沒有觀察到明顯的CD信號。經254nm紫外光輻照,CODA LB膜聚合成藍相,聚二乙炔主鏈表現出明顯的宏觀手性。而CO2DA LB膜聚合後同時存在有效共軛鏈長較長的藍相聚二乙炔主鏈和共軛鏈長較短的紅相聚二乙炔主鏈,薄膜無明顯的宏觀手性。LB膜中香豆素功能基團的排列對聚二乙炔主鏈螺旋結構的形成有決定性的影響。
5創新點與展望
本研究通過係統比較CODA和CO2DA兩種香豆素取代二乙炔單體的界麵行為、聚合特性及手性形成機製,揭示了柔性間隔基在超分子組裝中的重要作用。主要創新點包括:
1.首次係統研究了柔性間隔基對香豆素取代二乙炔體係手性形成的影響
2.發現了非手性分子通過界麵組裝產生超分子手性的新現象
3.闡明了香豆素端基排列對聚二乙炔主鏈螺旋結構的決定性影響
未來研究方向可進一步探索不同長度柔性間隔基的調控規律,以及手性LB膜在傳感器、光學器件等領域的應用潛力。





